Trang thông tin tổng hợp
Trang thông tin tổng hợp
  • Tranh Tô Màu
  • Meme
  • Avatar
  • Hình Nền
  • Ảnh Hoa
  • Ảnh Chibi
  • Ảnh Nail
Tranh Tô Màu Meme Avatar Hình Nền Ảnh Hoa Ảnh Chibi Ảnh Nail
  1. Trang chủ
  2. chính tả
Mục Lục

NaviEdu Blog

avatar
Xuka
18:38 16/08/2025

Mục Lục

Chương trình học Toán lớp 9 đóng vai trò then chốt trong việc củng cố kiến thức cơ bản và chuẩn bị cho kỳ thi vào lớp 10. Hiểu rõ và sử dụng thành thạo các công thức toán học không chỉ giúp học sinh nắm chắc lý thuyết mà còn phát triển kỹ năng giải quyết vấn đề. Bài viết này từ NaviEdu đã tổng hợp các công thức toán trọng tâm theo từng chuyên đề, giúp học sinh dễ dàng áp dụng vào thực tiễn học tập và thi cử.

1. Vì sao học sinh cần nắm vững các công thức Toán?

Các công thức Toán học là nền tảng giúp học sinh xây dựng tư duy và kỹ năng giải quyết bài toán một cách tự tin, từ những bài cơ bản đến nâng cao. Nắm vững công thức ngay từ đầu không chỉ cải thiện tốc độ tiếp thu bài giảng mà còn hỗ trợ học sinh hiểu sâu các khái niệm, phát triển khả năng tư duy logic và phân tích vấn đề.

Hơn nữa, việc áp dụng thành thạo công thức còn giúp học sinh dễ dàng chinh phục các dạng bài tập khó, đồng thời tạo tiền đề quan trọng để tiếp thu kiến thức mới ở lớp 10. Đây là bước đệm vững chắc để thành công trong học tập và xây dựng sự tự tin cho các chặng đường học vấn sau này. Các công thức như phương trình bậc hai, hệ thức lượng trong tam giác, hay các định lý hình học không chỉ phục vụ thi cử mà còn là công cụ giải quyết các vấn đề thực tế trong cuộc sống và các môn khoa học khác.

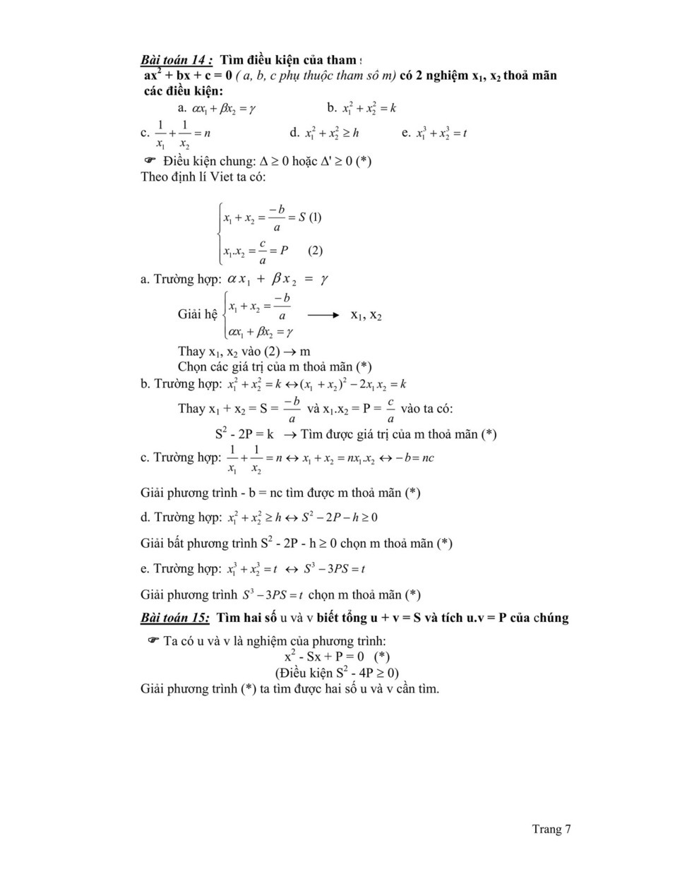
2. Các công thức toán trọng tâm lớp 9 cần nắm vững

Các công thức toán lớp 9 là chìa khóa để giải quyết bài tập từ cơ bản đến nâng cao, đồng thời chuẩn bị cho kỳ thi vào lớp 10. Học sinh cần ghi nhớ các công thức quan trọng. Để tối ưu hiệu quả học tập, hãy sắp xếp công thức theo chủ đề và ôn luyện thường xuyên. NaviEdu cung cấp tài liệu và lộ trình học chi tiết, giúp học sinh hệ thống hóa kiến thức một cách khoa học và hiệu quả.

0 Thích
Chia sẻ
  • Chia sẻ Facebook
  • Chia sẻ Twitter
  • Chia sẻ Zalo
  • Chia sẻ Pinterest
In
  • Điều khoản sử dụng
  • Chính sách bảo mật
  • Cookies
  • RSS
  • Điều khoản sử dụng
  • Chính sách bảo mật
  • Cookies
  • RSS

Trang thông tin tổng hợp itt

Website itt là blog chia sẻ vui về đời sống ở nhiều chủ đề khác nhau giúp cho mọi người dễ dàng cập nhật kiến thức. Đặc biệt có tiêu điểm quan trọng cho các bạn trẻ hiện nay.

© 2025 - itt

Kết nối với itt

https://nghengu.vn/
Trang thông tin tổng hợp
  • Trang chủ
  • Tranh Tô Màu
  • Meme
  • Avatar
  • Hình Nền
  • Ảnh Hoa
  • Ảnh Chibi
  • Ảnh Nail
Đăng ký / Đăng nhập
Quên mật khẩu?
Chưa có tài khoản? Đăng ký